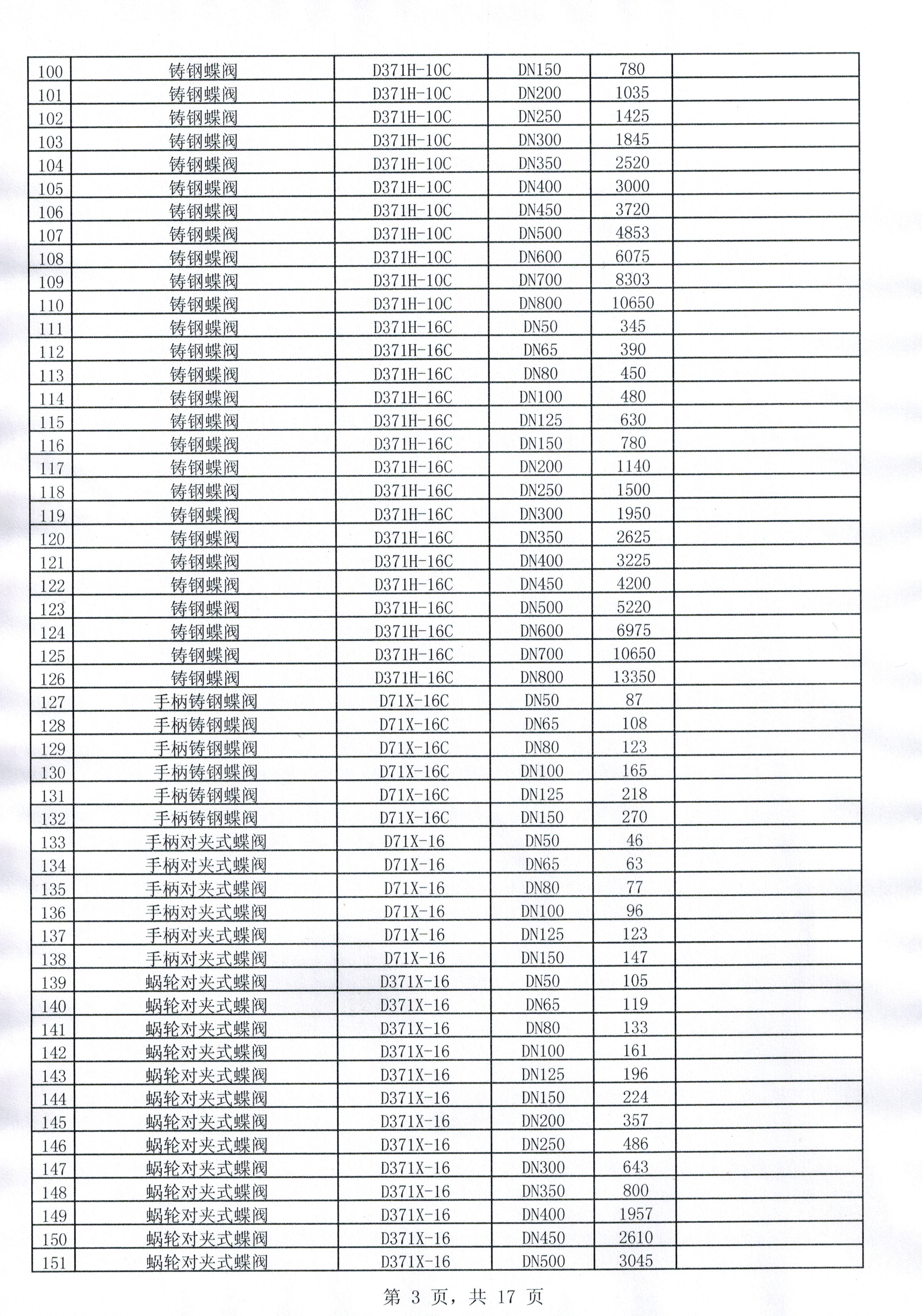
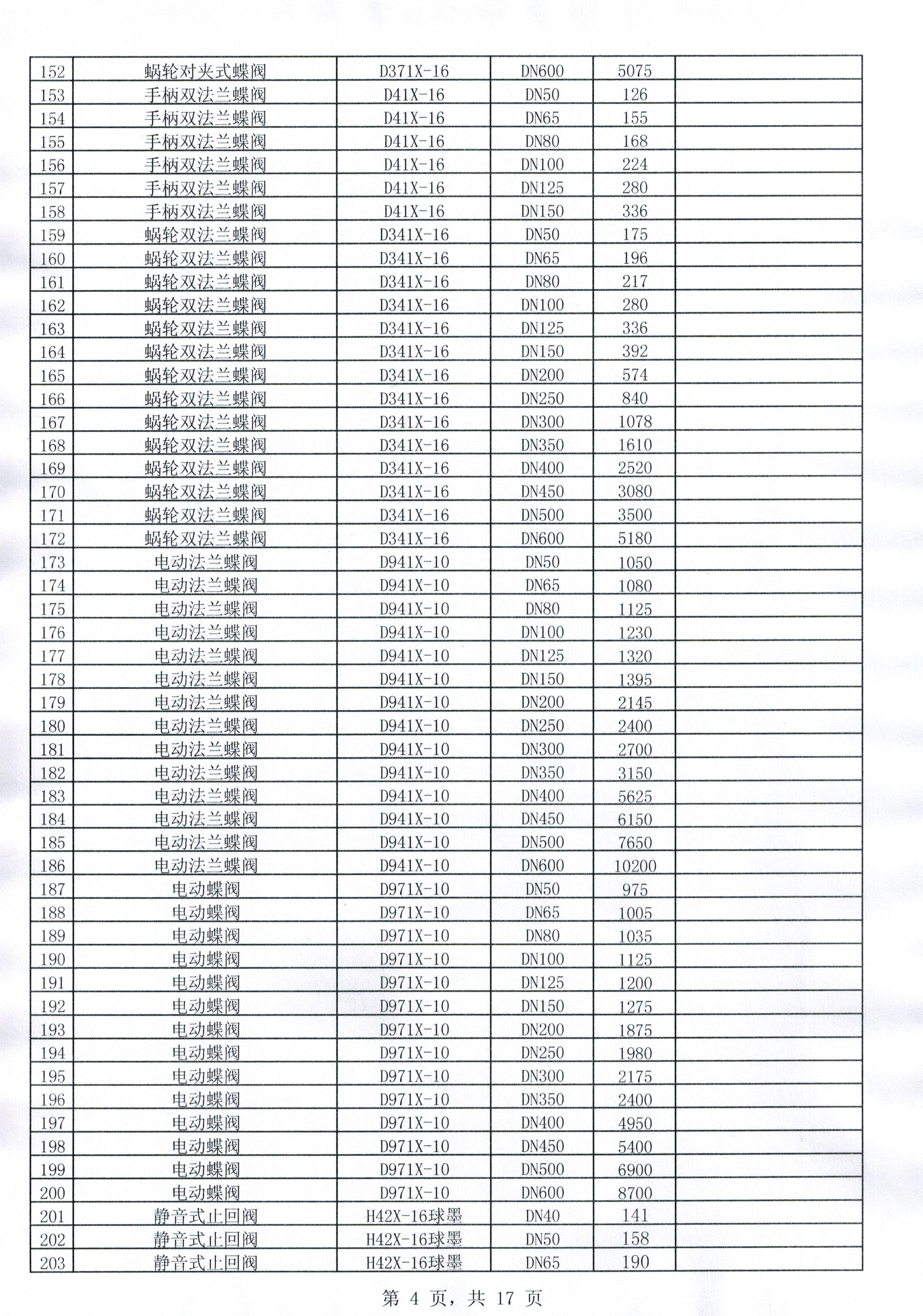
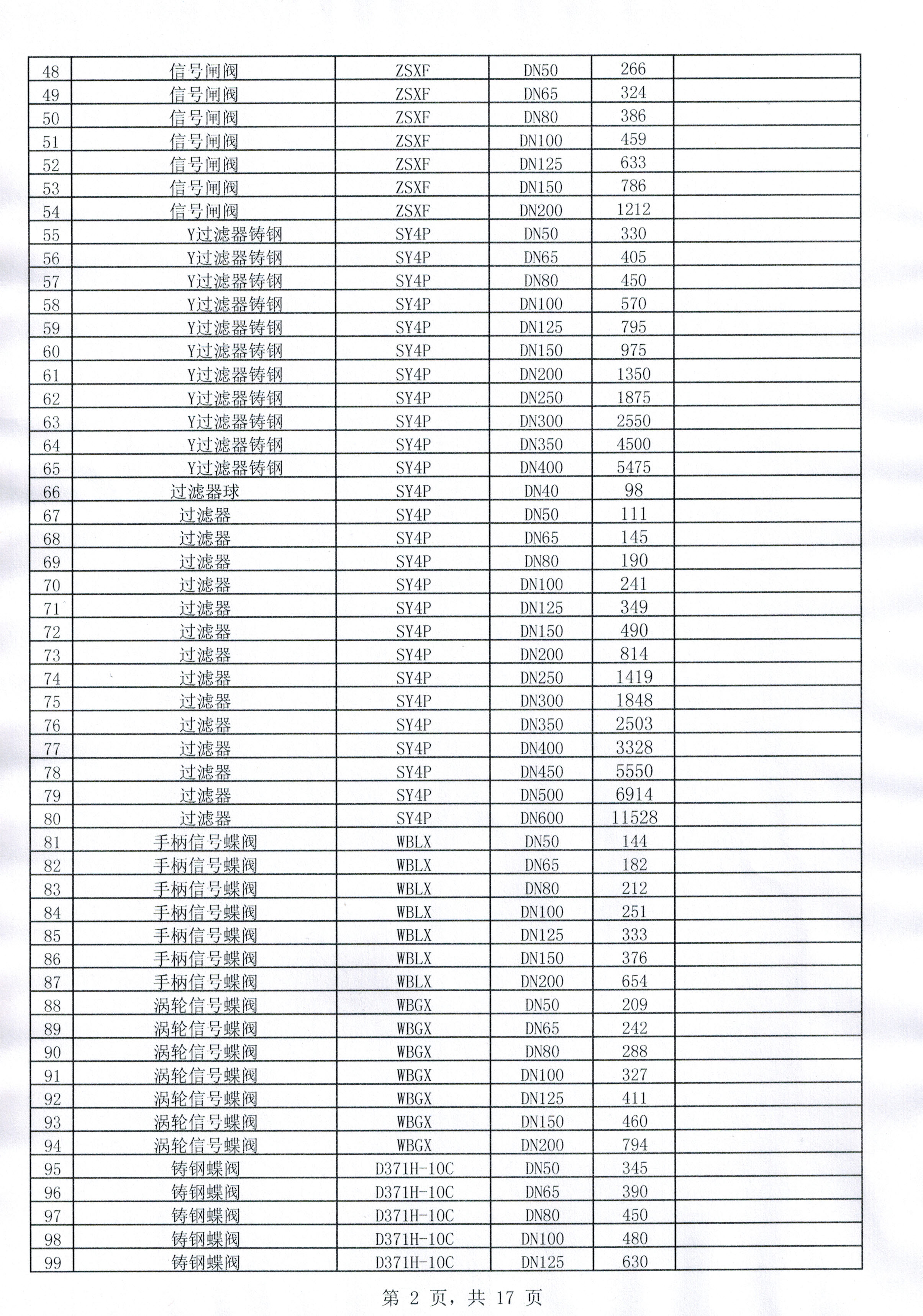
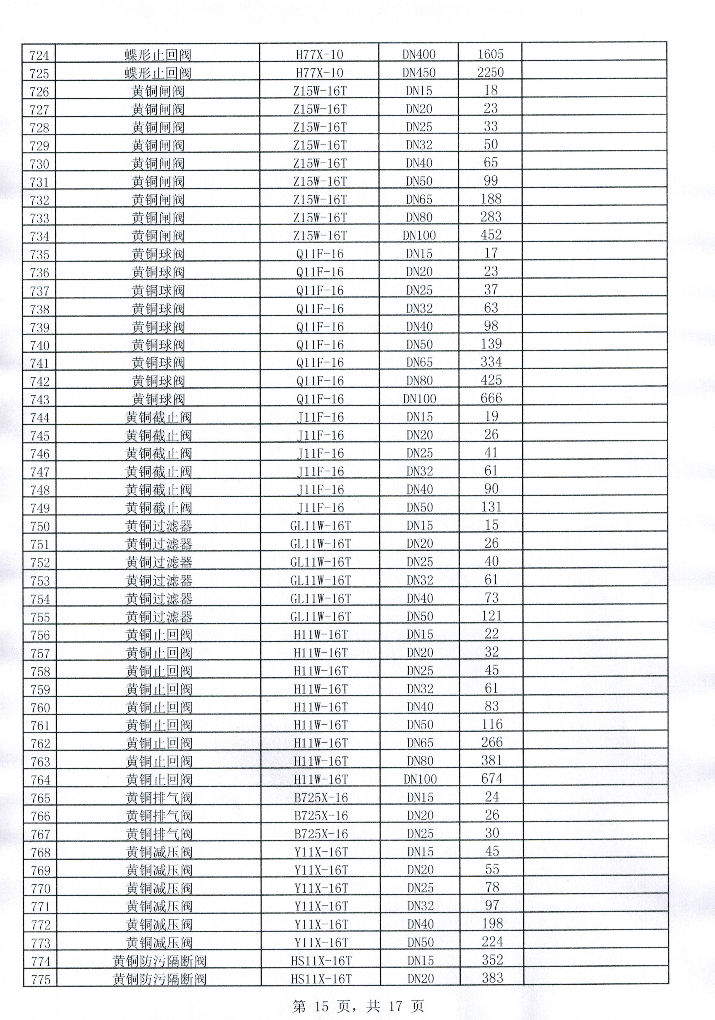
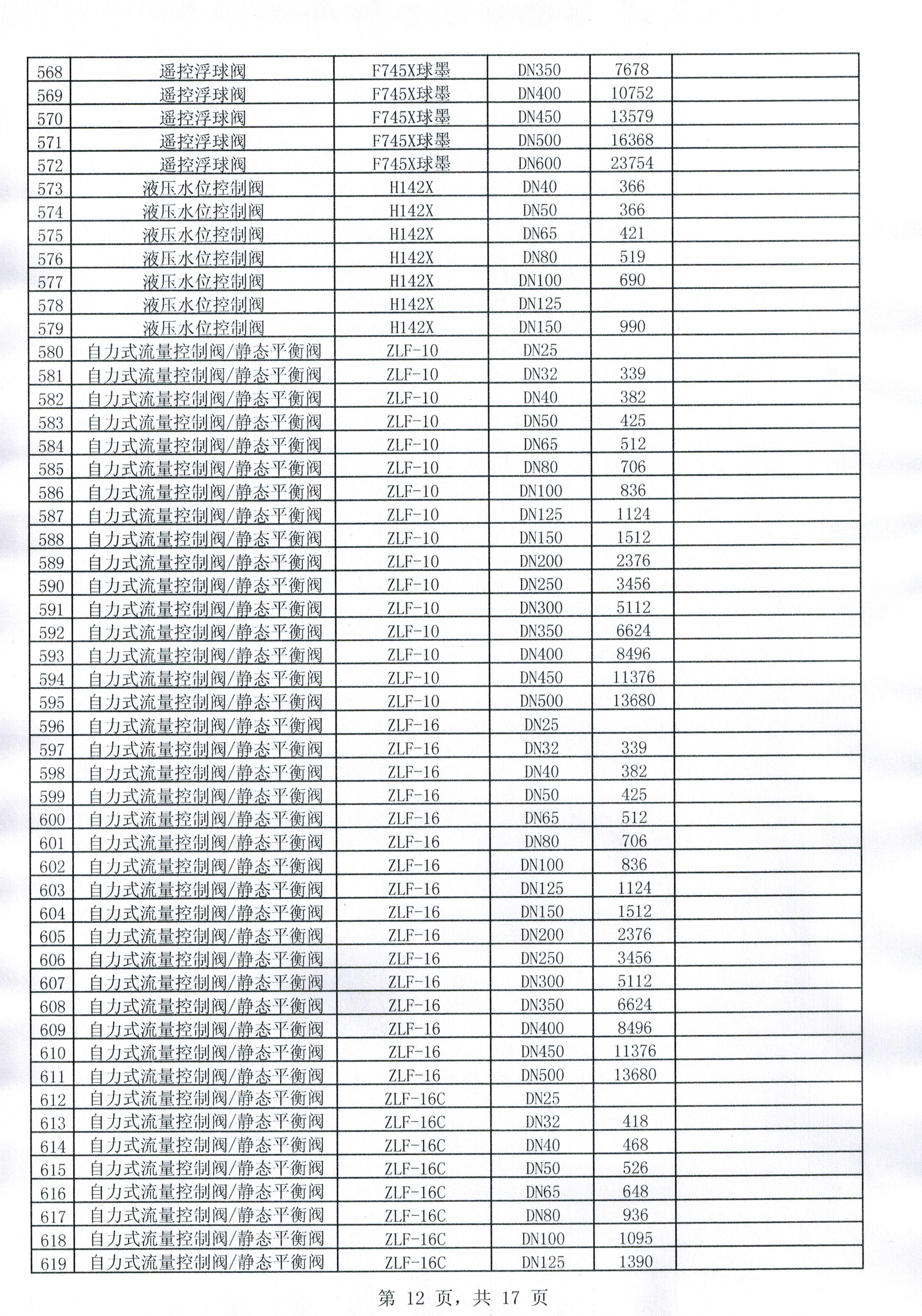
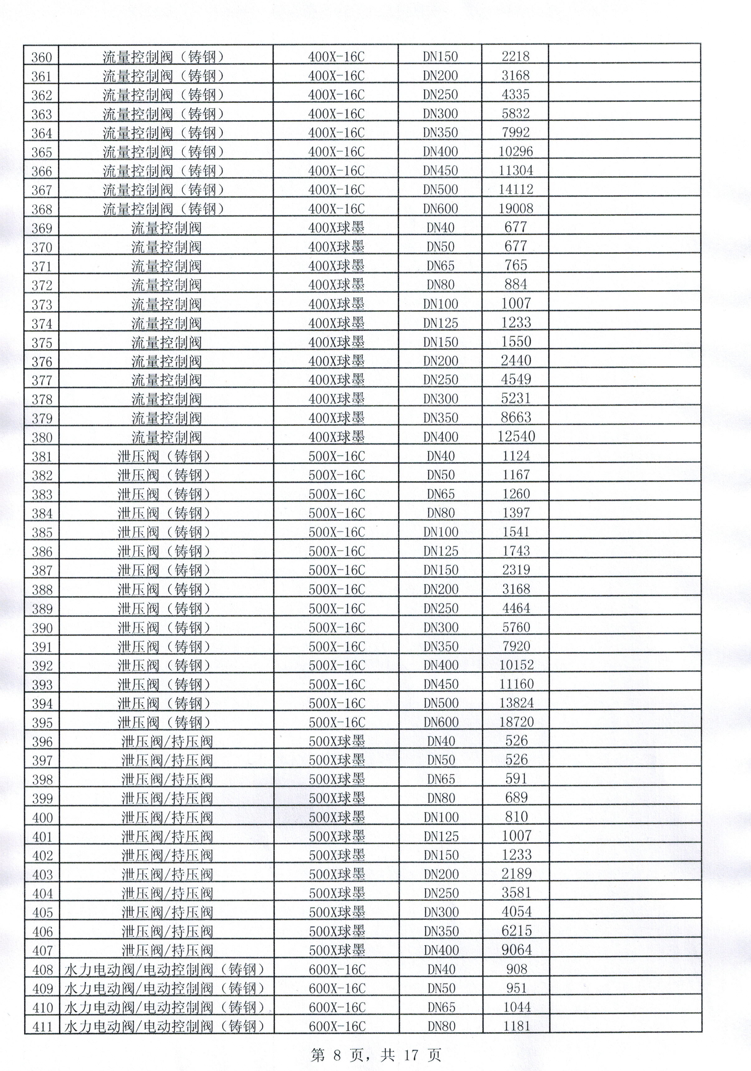
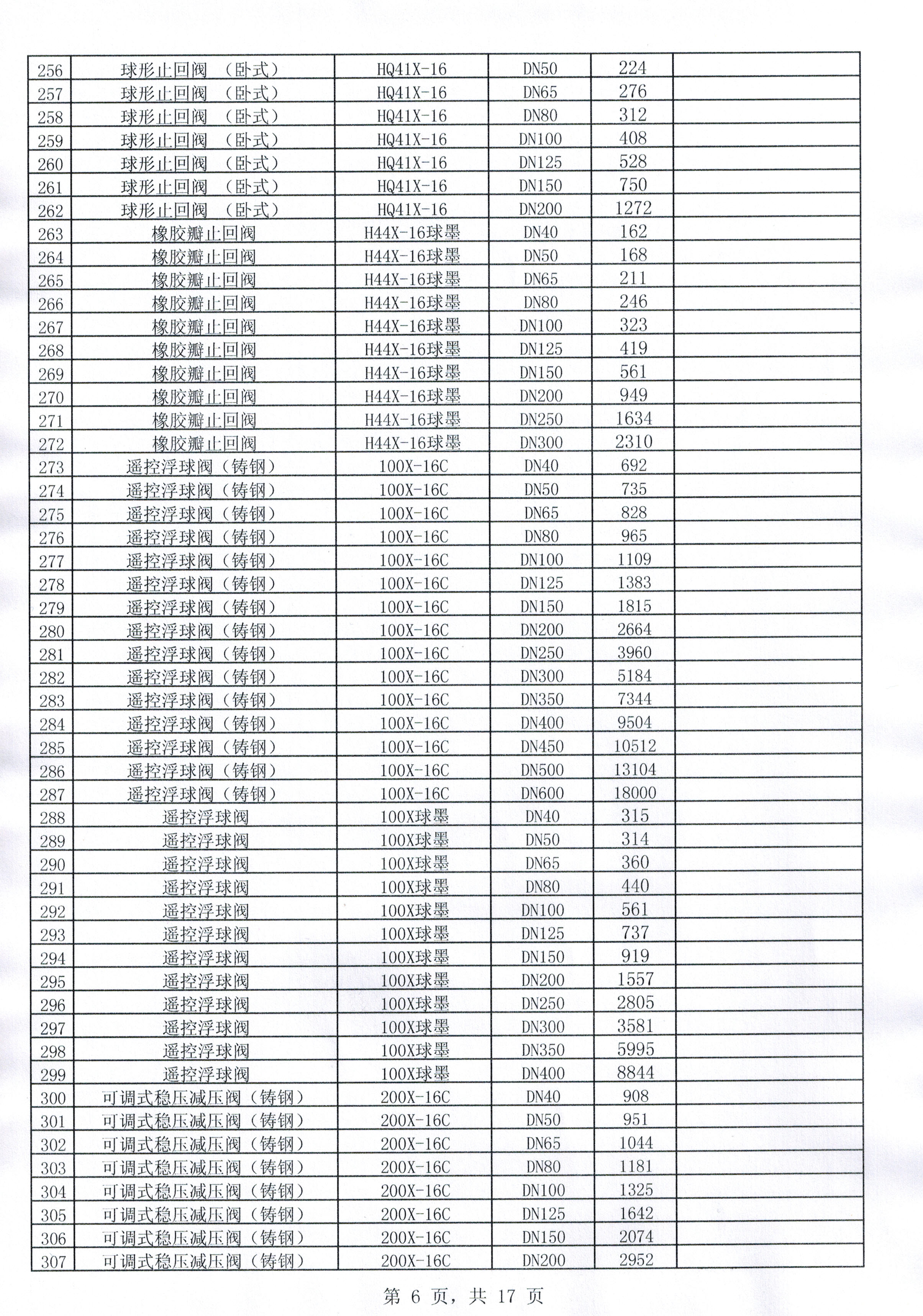
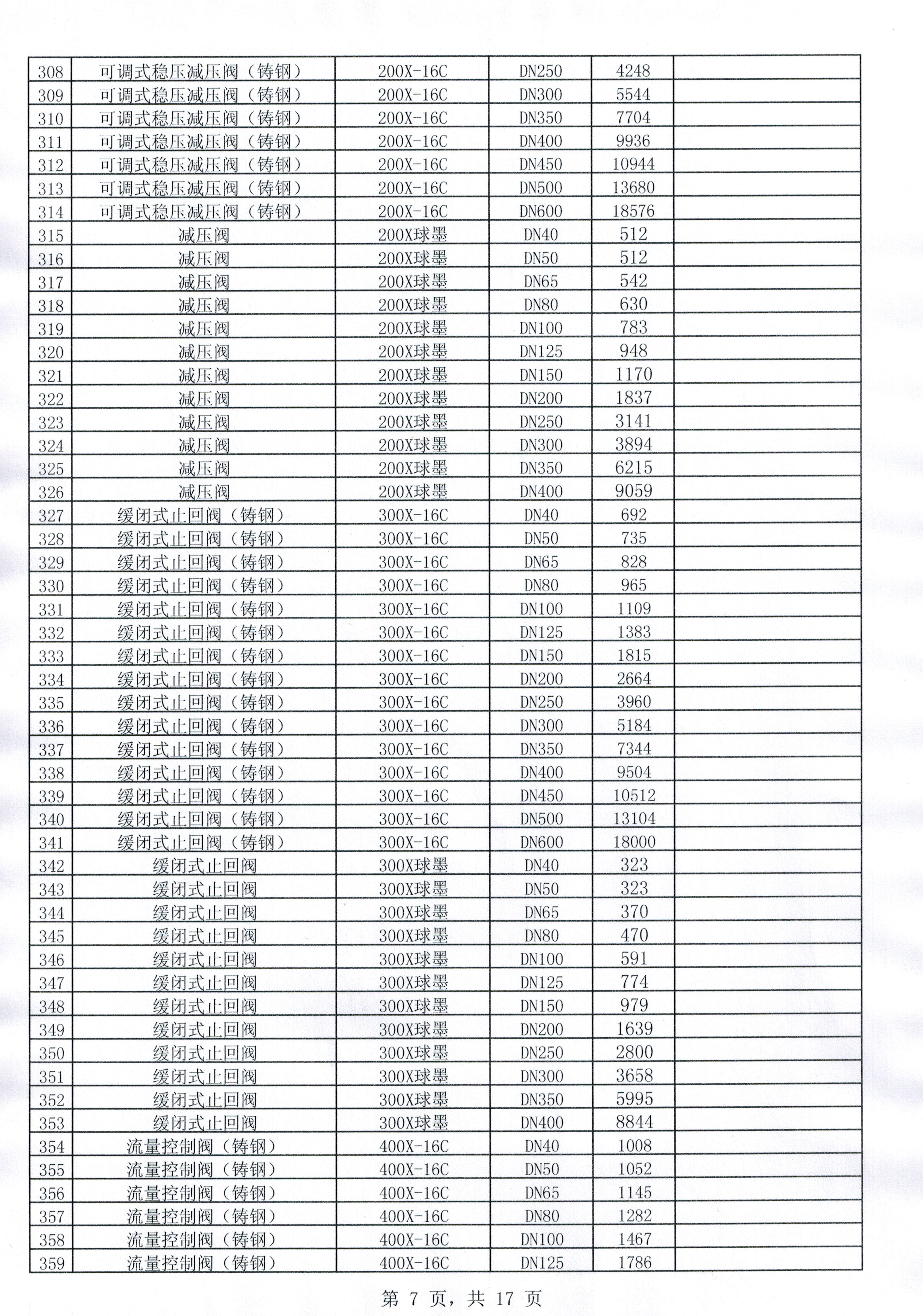
您當前的位置--首(shǒu)頁 > 上海冈本视频网站閥(fá)門價格表閥門廠家

聯係我們
Contact Us

  • 地址:上海市鬆江區泗涇工業園區100號
  • 電(diàn)話:15901687301
  • 郵箱:shhxv@foxmail.com
  • 傳(chuán)真:021-67231101

上海冈本视频网站閥門價格表閥門廠家

网站地图 冈本视频网站-冈本视频app最新版下载-冈本视频色版-冈本视频下载